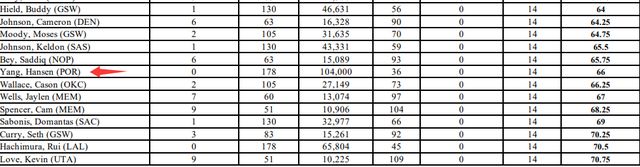
北京时间1月20日,北京时间1月20日,NBA官方公布了2026年全明星赛的首发阵容。西部首发是亚历山大、约基奇、东契奇、文班亚马和库里,东部首发是字母哥、坎宁安、布伦森、马克西和杰伦-布朗。随后,NBA官方公布了具体票数。东契奇得到3402967票,成为票王。杨瀚森得到104000票,在球迷投票部分,排名联盟第36位。


杨瀚森的媒体票和球员票均为零,2026年NBA全明星赛首发球员由球迷、现役NBA球员以及媒体评审团共同选出。球迷投票占首发人选评选权重的50%,球员与媒体投票各占25%。所有投票统计完毕后,球员将按照投票群体划分,在东西部两个联盟内分别进行排名。每位球员的最终得分,由其在球迷投票、球员投票和媒体投票中的加权排名取平均值计算得出。
球员得分的权重分配为球迷投票占50%、球员投票占25%、媒体投票占25%,具体计算公式为:(球迷排名×2+球员排名+媒体排名)÷4
杨瀚森的加权得分是66(分越低排名越高,比如约基奇是1.75),在他后一位是雷霆的卡森-华莱士,在他前一位是鹈鹕的萨迪克-贝。
杨瀚森今日已经被开拓者下放到发展联盟,将继续为混音出战比赛。过去两场发展联盟比赛,杨瀚森场均18分12篮板,分别创得分新高(22)和篮板新高(17)。
杨瀚森全明星票数揭晓!获10.4万票排名第36 媒体和球员票均为零
东部前二对决!布朗32+11丢绝杀绿军惜败活塞 坎宁安16+14
如果NBA只剩下最后一个传统中锋
巴特勒右膝伤退引热议!两大医学专家初判相同:前交叉韧带损伤
全明星首发官宣后续:詹姆斯落选也绝对能参赛?预测14人替补阵容
老詹全明星得票西部第9!无缘连续22年首发 教练和萧华选他参赛?
杨瀚森G联赛19分!7天6赛疲惫感拉满!护框+力量蜕变,目标成大洛
新的时代,东契奇生涯首夺全明星票王,此前10年詹姆斯7次夺魁
NBA官宣总决赛赛程:6月4日开打最晚6月20日结束 为世界杯做调整
尼克斯11战9败!布伦森紧急召开球员会议:力主队内寻找解决办法
恩比德乔治缺席!布克27分太阳灭76人获3连胜 格林时隔33场复出
勇士官宣巴特勒赛季报销!本人将军照玩梗 不忘祝贺库里进全明星
2026年01月24日NBA常规赛 太阳 - 老鹰 全场录像
2026年01月23日CBA常规赛 宁波 - 青岛 全场录像
2026年01月23日CBA常规赛 福建 - 上海 全场录像
2026年01月23日CBA常规赛 广州 - 同曦 全场录像
2026年01月23日 NBL常规赛 香港金牛 VS 长沙勇胜 全场录像
2026年01月23日 NBL常规赛 石家庄翔蓝 VS 湖北文旅 全场录像
2026年01月23日NWCBA常规赛 广东女篮 - 新疆女篮 全场录像
2026年01月23日WCBA常规赛 山西女篮 - 北京女篮 全场录像
2026年01月23日WCBA常规赛 山东女篮 - 上海女篮 全场录像
2026年01月23日NCBA常规赛 辽宁 - 山东 全场录像
2026年01月23日NBA常规赛 火箭 - 76人 全场录像
2026年01月22日CBA常规赛 新疆 - 四川 全场录像
2026年01月22日CBA常规赛 深圳 - 山西 全场录像
2026年01月22日CBA常规赛 江苏 - 天津 全场录像
2026年01月22日 NBL常规赛 贵州猛龙 VS 杭州经纬 全场录像
2026年01月23日 青岛不敌宁波 韦瑟斯庞空砍29分 王睿泽8中1 法尔18+10
2026年01月23日 上海大胜福建取4连胜 弗格36分 王哲林11分 邹阳18+6+4断
2026年01月23日 广州加时送同曦3连败 郭艾伦复出16分 徐昕24+14 郭昊文30分
2026年01月23日 01月23日NBL常规赛 香港金牛87-69长沙勇胜 全场集锦
2026年01月23日 01月23日NBL常规赛 石家庄翔蓝106-108湖北文旅 全场集锦
2026年01月23日 01月23日WCBA常规赛 广东女篮82-85新疆女篮 全场集锦
2026年01月23日 01月23日WCBA常规赛 山西女篮82-68北京女篮 全场集锦
2026年01月23日 01月23日WCBA常规赛 山东女篮91-93上海女篮 全场集锦
2026年01月23日 山东送辽宁三连败 高诗岩14+5+4+5断&末节12分 赵继伟12+7+6
2026年01月23日 快船拒绝湖人逆转 小卡26分钟24分 哈登18+10 东契奇32+11+8
2026年01月23日 开拓者6人上双扑灭热火4连胜 阿夫迪亚伤退20+7 阿德巴约32+9
2026年01月23日 马刺战胜爵士 文班26+13+5帽 福克斯31分 努尔基奇背靠背三双
2026年01月23日 森林狼不敌公牛 兰德尔30+7+6 爱德华兹25中9 吉迪复出21+6+5
2026年01月23日 独行侠三人20+擒勇士4连胜 弗拉格21+11 库里38分 库明加伤退
2026年01月23日 76人不惧误判加时险胜火箭 大帝32+15+10 马克西36+10 KD36分
杨瀚森全明星票数揭晓!获10.4万票排名第36 媒体和球员票均为零
东部前二对决!布朗32+11丢绝杀绿军惜败活塞 坎宁安16+14
如果NBA只剩下最后一个传统中锋
巴特勒右膝伤退引热议!两大医学专家初判相同:前交叉韧带损伤
全明星首发官宣后续:詹姆斯落选也绝对能参赛?预测14人替补阵容
老詹全明星得票西部第9!无缘连续22年首发 教练和萧华选他参赛?
杨瀚森G联赛19分!7天6赛疲惫感拉满!护框+力量蜕变,目标成大洛
新的时代,东契奇生涯首夺全明星票王,此前10年詹姆斯7次夺魁
NBA官宣总决赛赛程:6月4日开打最晚6月20日结束 为世界杯做调整
尼克斯11战9败!布伦森紧急召开球员会议:力主队内寻找解决办法
恩比德乔治缺席!布克27分太阳灭76人获3连胜 格林时隔33场复出
勇士官宣巴特勒赛季报销!本人将军照玩梗 不忘祝贺库里进全明星
终结6连胜!哈登24+5+6快船狂输公牛28分 被轰25记三分
火箭遭重创!亚当斯脚踝三级扭伤将无限期缺阵 可能会赛季报销
华子38+8森林狼遭爵士大逆转 乔治43分生涯新高弩机三双